黄金城官网
黄金城官网
院长书记信箱
导航
黄金城官网概况
黄金城官网简介
历史沿革
组织机构
联系我们
师资队伍
知名专家
教师按职称
教师按研究方向
教师按系别
院机关与实验人员
计算中心
人才培养
本科生
研究生
拔尖基地
学生工作
EFREI国际班
科学研究
研究方向
科研平台
科研动态
学术活动
科研指南
人才引进
人才招聘
博士后招募
党群工作
学习专区
党建工作
关工委工作
工会工作
下载专区
校友天地
校友风采
校友动态
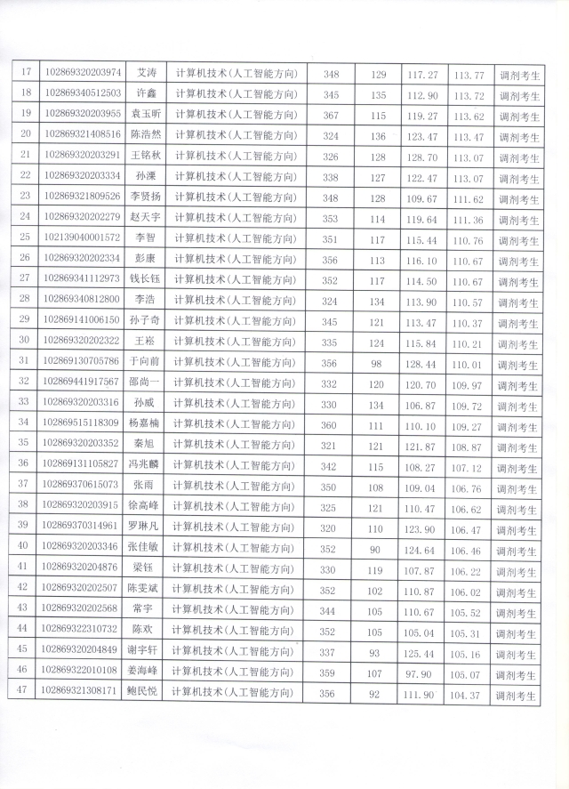
2019年苏州联合研究生院计算机技术专业硕士生复试结果
发布者:蔡志玲
发布时间:2019-03-27
浏览次数:
14128
相关链接
黄金城官网合作
计算机网络和信息集成教育部重点实验室(黄金城官网合作 )
新一代人工智能技术与交叉应用教育部重点实验室(黄金城官网合作 )
江苏省网络与信息安全重点实验室
计算机国家级实验教学示范中心(黄金城官网合作 )
黄金城官网合作 计算机科学拔尖学生培养基地
联系方式
通信地址:南京市江宁区黄金城官网合作 路2号黄金城官网合作 九龙湖校区计算机黄金城官网
邮政编码:211189
办公地点:黄金城官网合作 九龙湖校区计算机楼
黄金城官网 微信公众号